文章最后更新时间:2024-08-29 12:11:34,由春晓健康网负责审核发布,若内容或图片失效,请留言反馈!
【产品参数】
名称: 普纳替尼
别名: 帕纳替尼、Ponatinib、lclusig、Ponaxen
剂型: 片剂
规格:45mg
适应症:可用于恶性胸膜间皮瘤,治疗白血病缓解率高
厂家:日本武田
有效期: 24个月

【生产厂家】
日本武田
【成分】
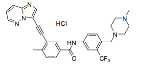
普纳替尼是一种激酶抑制剂。盐酸普纳替尼的化学名称是3-(咪唑[1,2b]吡啶嗪-3-乙基)-4-甲基- n-{4-[(4-甲基哌嗪-1-基)甲基]-3(三氟甲基)苯基)苯甲酰胺盐酸盐。其结构如下图所示:

盐酸普纳替尼是一种灰白色至黄色粉末,含有以下非活性成分:a-乳糖、微晶纤维素、淀粉乙醇酸钠(B型)、胶体二氧化硅、硬脂酸镁和片剂涂层。该片剂涂层由滑石粉、聚乙二醇、聚乙烯醇和二氧化钛组成。
【性状】
白色圆形片剂
【适应症】
普纳替尼是一种激酶抑制剂适用于为治疗对既往酪氨酸激酶抑制剂治疗耐药或不能耐受的慢性粒性白血病(CML)成年患者或对既往酪氨酸激酶抑制剂治疗耐药或不能耐受的Philadelphia染色体阳性急性淋巴母细胞白血病(Ph+ALL)。
【用法用量】
一、45mg口服每天1次,可伴食或不伴食服用。
整片吞下,请勿压碎、折断、切割或咀嚼片剂
二、根据血液学和非-血液学毒性调整剂量或中断给药
三、服药期间如不慎漏服一天,请在第二天的常规时间服用下一剂药即可,无需过量服用以弥补,如不慎过量服用,应立即就医
四、服药期间避免同时服用葡萄柚及其制品
【不良反应】
最常见非-血液学不良反应(≥20%)包括高血压、动脉闭塞、神经性病变、肝损伤、心律失常、皮疹、腹痛、疲乏、头痛、干皮肤、便秘、关节痛、恶心、和发热
血液学不良反应包括血小板减少、贫血、中性粒细胞减少、淋巴细胞减少、和白细胞减少
禁忌
目前暂无明显药物禁忌,但有肝功能障碍、心脏功能障碍及血栓患者应慎用该药
【贮存方法】
干燥密封储存在20°至25°C; 允许偏移15°至30°C。远离儿童。
【适用人群】
成人
【药物相互作用】
CYP3A4酶能促进普纳替尼的代谢,所以在用药期间,应避免同时使用强效CYP3A4抑制剂,例如:酮康唑,伊曲康唑,伏立康唑,克拉霉素,红霉素,利托那韦,地尔硫卓,维拉帕米,西柚汁。
强效CYP3A诱导剂诱导CYP3A的代谢活性,可能会降低该药物的血药浓度,因此避免与强效CYP3A诱导剂同时使用,例如:利福平,利福布汀,卡马西平,苯巴比妥,苯妥英钠,含圣约翰草的食物,以免影响药效。
【有效期】
24个月
【剂型】
片剂
【注意事项】
一、充血性心衰:监视患者充血性心衰的体征和症状,根据情况需减少用量或中断给药
二、高血压:对高血压患者监视血压和临床体征,根据情况需减少用量或中断给药
三、胰腺炎:每月监视血清酯酶;
根据患者体征中断或终止给药
四、出血:对出现严重出血患者需中断给药
五、体液潴留:监视患者体液潴留情况,根据严重程度减少剂量或中断给药
六、心律失常:监视心律失常的症状
七、骨髓抑制:血小板减少,中性粒细胞减少,和贫血可能需要中断或减低剂量
八、肿瘤溶解综合征:开始用药治疗前确保水化和纠正高尿酸水平
九、伤口愈合受到损害和胃肠道穿孔:在接受大型手术患者中短暂中断治疗
十、育龄期妇女如需用药,应在服药后三周避孕,以免产生胎儿毒性,导致胎儿异常或流产
十一、哺乳期妇女应在服药后六天内避免哺乳,以免药物毒性通过乳汁损伤婴儿身体
十二、肝损伤患者应酌情减量
十三、65岁或以上的患者更容易出现不良反应,包括血管阻塞、血小板计数降低、外周水肿、脂肪酶升高、呼吸困难、无力、肌肉痉挛和食欲下降。
一般来说,老年患者的剂量选择应谨慎,应反映出肝、肾或心功能下降的频率较高,以及伴随疾病或其他药物治疗
十四、新诊断的慢性期髓细胞性白血病不建议使用该药





发表评论