文章最后更新时间:2024-08-12 19:30:04,由春晓健康网负责审核发布,若内容或图片失效,请留言反馈!
TCR-T细胞疗法,利用TCR-T技术靶向MAGE-A4癌症抗原的ADP-A2M4疗法治疗多种实体瘤疾病控制率达81%
除了手术、放疗、化疗这些传统的治疗模式外,肿瘤患者又迎来了一种全新的免疫治疗方案!
在今年的ESMO(欧洲肿瘤学会)年会上,一项由全球知名的癌症中心-美国MD安德森癌症中心公布的新型过继性T细胞疗法,ADP-A2M4的1期试验最新数据引起了轰动!这是首个在人体中进行的研究,招募8类实体肿瘤患者,包括肺癌,胃食管交界癌,卵巢癌,头颈癌等,给肿瘤患者带来了全新的希望。

疾病控制率高达81%!新型T细胞疗法对多种实体肿瘤有效
众所周知,截止到目前为止,所有的针对实体肿瘤的细胞免疫疗法中,都没有取得像血液肿瘤的CAR-T疗法的高有效率,这是因为实体肿瘤中缺乏特异性高的肿瘤抗原。
近期,这一瓶颈终于被突破!研究人员经过多年研究发现MAGE-A4是一种非常理想的,存在于多种实体肿瘤的特性性癌抗原。因此研究人员专门研发了一种新型的专门针对MAGE-A4癌症抗原的TCR-T技术-ADP-A2M4。
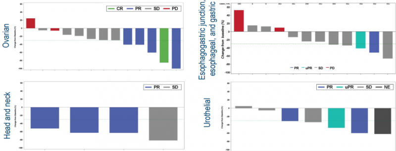
在今年ESMO大会上刚刚公布的临床试验数据显示,共纳入了44名平均接受过3种全身治疗,临床上可以说是没有任何标准治疗方案的极晚期患者,包括恶性程度极高的滑膜肉瘤,卵巢癌,头颈癌,胃癌,粘液样/圆形细胞脂肪肉瘤,非小细胞肺癌,尿路上皮癌,食道癌和黑色素瘤。
这些患者在接受ADP-A2M4 T细胞治疗后,产生了强烈的响应。
结果显示:总体确认的客观缓解率为 28%(n = 12/44);还有5% 的患者 (n = 2) 待影像确认,这意味着近30%的晚期患者肿瘤缩小了30%以上;更值得一提的是,疾病控制率达到了81%,这意味着大部分晚期患者的病情在接受TCR-T治疗后得到了有效控制。

其中,卵巢癌、头颈癌、尿路上皮癌的疾病控制率高达100%!

比如这位幸运的患者,69岁的M先生,被确诊为4期头颈癌,接受了化疗和PD-1治疗后病情仍不断进展,肿瘤转移至肺等多部位。幸运的是,经过检测存在MAGE-A4高表达,当50亿能够精准识别癌细胞的TCR-T大军回输到M先生体内后,仅4周,肿瘤快速消退,达到部分缓解!

目前,ADP-A2M4的研究正在进行针对MAGE-A4肉瘤的II 期试验,我们也期待这款新型疗法能够早日完成临床验证,获批造福更多的患者。
什么是ADP-A2M4疗法
ADP-A2M4是一种特异性靶向MAGE-A4癌症抗原的TCR-T技术,由Adaptimmune公司研发并命名为ADP-A2M4 SPEAR T细胞。
说到这,可能还有病友不了解TCR-T是种什么技术。我们在这简单科普下。
TCR-T技术,即T细胞受体(TCR)嵌合型T细胞技术,也叫亲和力增强的TCR”技术。它的目的是让自身的杀手T细胞识别能力更强,因为原本的T细胞对肿瘤相关抗原的识别能力较弱,现在通过基因修改的方式增强识别亲和性,从而使T细胞攻击肿瘤细胞,达到治疗肿瘤的效果。

这种治疗方式需要从患者血液中分离出T细胞并进行工程改造,让T细胞表达靶向MAGE-A4的TCR,MAGE-A4是一种特异性癌抗原。通常仅在睾丸及一些癌症中存在。基于此,研究人员专门设计了一种TCR-T疗法,经过工程改造的T细胞成为ADP-A2M4 SPEAR T细胞,简单来说,这种细胞具有非常高的与肿瘤细胞特定抗原结合的亲和力,可以与MAGE-A4过表达的细胞特异性的结合,精准杀伤癌细胞
好消息是,国内多项TCR-T疗法也正在进行临床实验,想寻求TCR-T细胞疗法及其他国内外治疗新技术帮助,且经济条件允许的情况下,患者可以先将病历提交至全球肿瘤医生网医学部进行初步评估。
免疫疗法将揭开更多冰山中的抗癌宝藏
近年来,细胞治疗为恶性肿瘤、某些传染病和遗传病等难治性疾病患者带来了新的希望,并在美欧日等发达国家以多种方式开始进入临床应用,我国医疗机构也开展了大量临床研究,患者希望接受高质量细胞治疗的呼声日益增高。政府也在规范并加快细胞治疗科学发展,并允许临床研究证明安全有效的体细胞治疗项目经过备案在相关医疗机构进入转化应用,相关的临床试验也正在开展。
同时需要提醒病友,肿瘤的治疗一定是依托于权威医院及权威专家的正规治疗,在采取常规治疗手段(手术、放疗、化疗)治疗后,根据自身的经济情况,辅助免疫治疗技术等综合疗法,达到巩固治疗,预防复发,提高生活治疗,延长生存期的目的,最终取得抗癌成功。如果大家想全面了解自身的免疫状态或相关的免疫疗法,请致电医学部或加入免疫治疗医患交流群。
参考资料:
https://www.onclive.com/view/adp-a2m4cd8-shows-promising-activity-across-mage-a4-unresectable-or-linkstatic-tumor-types





发表评论